The contribution of labor force restructuring to economic growth: the case of the processing and manufacturing industry in Vietnam
TS. Phạm Thị Dự
Trường Đại học Thương mại
(Quanlynhanuoc.vn) – Bài viết phân tích đóng góp của chuyển dịch cơ cấu lao động đến tăng trưởng kinh tế trong ngành công nghiệp chế biến, chế tạo ở Việt Nam theo 3 hiệu ứng: hiệu ứng chuyển dịch cơ cấu tĩnh, hiệu ứng chuyển dịch cơ cấu động và hiệu ứng chuyển dịch nội ngành, để thấy được mức đóng góp của từng hiệu ứng vào tăng trưởng kinh tế của ngành trong giai đoạn 2015 – 2024. Trên cơ sở đó, bài viết đề xuất một số định hướng chính sách trong chuyển dịch cơ cấu lao động ngành nhằm đóng góp tích cực cho tăng trưởng kinh tế Việt Nam.
Từ khóa: Chuyển dịch cơ cấu lao động; tăng trưởng kinh tế; công nghiệp chế biến, chế tạo.
Abstract: This paper analyzes the contribution of labor structure transformation to economic growth in Vietnam’s manufacturing and processing industry through three effects: the static structural transformation effect, the dynamic structural transformation effect, and the intra-industry transformation effect, to assess the contribution of each effect to the sector’s economic growth during the 2015–2024 period. Based on this analysis, the paper proposes several policy directions for labor force restructuring in the sector to positively contribute to Vietnam’s economic growth.
Keywords: labor force restructuring; economic growth; manufacturing and processing industry.
1. Đặt vấn đề
Chuyển dịch cơ cấu kinh tế và cơ cấu lao động không phải là một quá trình tự phát mà chịu sự tác động của nhiều yếu tố, trong đó có vai trò quan trọng của Chính phủ thông qua các chính sách hỗ trợ, quản lý và điều tiết. Việc chuyển dịch cơ cấu lao động đóng góp tích cực vào tăng trưởng và phát triển kinh tế, đồng thời, kiểm soát quá trình chuyển dịch cơ cấu lao động vì mục tiêu tăng trưởng và phát triển kinh tế luôn là vấn đề được các nhà quản lý và hoạch định chính sách quan tâm. Những năm gần đây, nền kinh tế Việt Nam đã đạt được nhiều thành tựu đáng kể với mô hình chuyển dịch cơ cấu kinh tế hiệu quả. Cùng với sự thay đổi về cơ cấu kinh tế là sự thay đổi về cơ cấu lao động. Đặc biệt là sự đóng góp tích cực của việc chuyển dịch cơ cấu lao động từ nông nghiệp sang công nghiệp và dịch vụ; từ doanh nghiệp nhà nước sang doanh nghiệp tư nhân.
Dân số Việt Nam tính đến giữa năm 2024 khoảng 101.112.656 người1, lực lượng lao động từ 15 tuổi trở lên của cả nước quý II/2025 ước tính là 53,1 triệu người2 với tổng số người trong độ tuổi lao động cao 52,942 triệu người và đang trong giai đoạn cơ cấu dân số vàng là một lợi thế lớn trong quá trình xây dựng và phát triển nền kinh tế. Việc phân bổ lại nguồn lực lao động hợp lý sẽ đóng góp tích cực vào tăng trưởng kinh tế. Đặc biệt, trong bối cảnh toàn cầu hóa và hội nhập kinh tế quốc tế, việc chuyển dịch cơ cấu lao động hợp lý cũng cần xem xét đến lợi thế so sánh của các ngành để có thể tham gia sâu hơn vào chuỗi giá trị toàn cầu.
Ngành công nghiệp chế biến, chế tạo đóng vai trò quan trọng trong việc tạo ra nhiều việc làm cho lao động và dẫn dắt tăng trưởng kinh tế ở Việt Nam. Lao động trong ngành ngày càng gia tăng về số lượng và chất lượng trong giai đoạn 2015 – 2024. Lao động có xu hướng dịch chuyển khỏi những ngành sử dụng công nghệ thấp và chuyển tới nhóm ngành sử dụng công nghệ cao hơn. Tuy nhiên, việc chuyển dịch cơ cấu lao động theo ngành chưa hoàn toàn tỷ lệ thuận với đóng góp của ngành vào GDP. Câu hỏi đặt ra là: Chuyển dịch cơ cấu lao động trong ngành công nghiệp chế biến, chế tạo ở Việt Nam trong những năm gần đây có đóng góp tích cực vào tăng trưởng kinh tế hay không? Cần có chính sách gì để thúc đẩy sự đóng góp của chuyển dịch cơ cấu lao động vào tăng trưởng kinh tế trong ngành công nghiệp chế biến, chế tạo?
Bài viết sử dụng phương pháp SSA để đánh giá đóng góp của chuyển dịch cơ cấu lao động vào tăng trưởng kinh tế theo ngành, tập trung nghiên cứu ngành công nghiệp chế biến, chế tạo ở Việt Nam.
2. Cơ sở lý thuyết
2.1. Lý thuyết về chuyển dịch cơ cấu lao động
a. Lý thuyết mô hình hai khu vực của Arthur Lewis
Một số nhà kinh tế đã phân tích sự phát triển trong bối cảnh của một “nền kinh tế dư thừa lao động”. Những lý thuyết này bắt nguồn từ công trình của nhà khoa học Arthur Lewis3. Ông chỉ rõ, nền kinh tế chia thành hai khu vực công nghiệp – nông nghiệp và có sự di chuyển lao động từ nông nghiệp sang công nghiệp. Khu vực nông nghiệp ở mức độ tồn tại, có dư thừa lao động và lao động dư thừa này dần được chuyển sang khu vực công nghiệp.
Sự phát triển của khu vực công nghiệp quyết định quá trình tăng trưởng của nền kinh tế, phụ thuộc vào khả năng thu hút lao động dư thừa do khu vực nông nghiệp tạo nên và khả năng đó là phụ thuộc vào tốc độ tích lũy vốn của khu vực công nghiệp. Khu vực công nghiệp có mức lương cao hơn, năng suất cao hơn và nhu cầu lao động tăng lên. Lao động nông nghiệp có mức thu nhập và năng suất thấp hơn sẵn sàng chuyển sang làm việc trong các ngành công nghiệp. Các ngành công nghiệp có lợi nhuận và được tái đầu tư sẽ mở rộng sản xuất, dẫn đến nhu cầu lao động tăng lên. Điều này giải thích cho sự dịch chuyển lao động từ ngành nông nghiệp năng suất thấp sang các ngành công nghiệp năng suất cao hơn. Quá trình này dẫn đến sự chuyển dịch cơ cấu lao động theo hướng tăng năng suất và đóng góp vào tăng trưởng kinh tế.
b. Lý thuyết mô hình hai khu vực của Harry T. Oshima
Xuất phát từ những đặc điểm sản xuất nông nghiệp của châu Á, nhà kinh tế Nhật Bản Harry T.Oshima (Oshima, H.T, 1963)4 cho rằng sự chuyển dịch cơ cấu kinh tế và cơ cấu lao động sẽ diễn ra qua các giai đoạn sau:
Giai đoạn bắt đầu tăng trưởng: với đặc trưng cơ bản là năng suất lao động trong nông nghiệp có thể tăng lên nhờ sử dụng thêm được thời gian nhàn rỗi của lao động. Do vậy việc tăng quy mô sản xuất cũng như mở rộng đầu tư trong nông nghiệp ở giai đoạn này đều hướng vào việc tìm cách tăng quy mô đầu vào lao động sử dụng.
Giai đoạn hướng tới có việc làm đầy đủ: là giai đoạn lao động nông nghiệp đã bắt đầu có sự chuyển dịch sang các ngành, nghề khác. Cụ thể, một bộ phận lao động đã chuyển sang làm các công việc ngoài nông nghiệp, như: chế biến lương thực, thực phẩm hoặc các hoạt động dịch vụ phi nông nghiệp.
Giai đoạn sau khi đã có việc làm đầy đủ: do việc sử dụng mạnh mẽ tiến bộ kỹ thuật vào sản xuất nông nghiệp nên năng suất lao động tăng nhanh, tạo khả năng chuyển bớt một bộ phận lao động nông nghiệp sang các ngành khác.
Tư tưởng chủ đạo của Oshima là quá trình tăng trưởng và phát triển kinh tế phải dựa trên động lực tích lũy và đầu tư đồng thời ở cả hai khu vực nông nghiệp và công nghiệp. Vì thế không dẫn tới sự phân hóa xã hội và sự bất bình đẳng trong phân phối thu nhập.
2.2. Lý thuyết về mối quan hệ giữa chuyển dịch cơ cấu lao động và tăng trưởng kinh tế
Một là, cơ chế ảnh hưởng
Cơ chế ảnh hưởng của chuyển dịch cơ cấu lao động tới tăng trưởng kinh tế thông qua:
Ảnh hưởng nhân quả tích lũy: nghiên cứu về mối quan hệ giữa chuyển dịch cơ cấu lao động và tăng trưởng kinh tế McMillan, Margaret và Dani Rodrik (2011)5 đã chỉ ra rằng việc tăng năng suất lao động trong một nền kinh tế đạt được theo một trong hai cách. Thứ nhất, năng suất có thể tăng trong các ngành kinh tế thông qua tích lũy vốn, thay đổi công nghệ hoặc giảm sự dịch chuyển bất hợp lý của máy móc, công cụ lao động. Thứ hai, lao động có thể dịch chuyển giữa các ngành, từ các ngành có năng suất thấp sang các ngành có năng suất cao, làm tăng năng suất lao động chung của toàn bộ nền kinh tế.
Quan hệ giữa chuyển dịch cơ cấu lao động với tăng trưởng kinh tế là quan hệ nhân quả và có thể vận dụng nguyên lý nhân quả tích lũy để giải thích mối quan hệ này (Vũ Thị Thu Hương, 2017)6. Sự chuyển dịch của lao động từ khu vực nông nghiệp với năng suất lao động thấp sang khu vực công nghiệp và dịch vụ với năng suất lao động cao hơn làm tăng năng suất lao động của toàn nền kinh tế, đồng nghĩa với việc đạt được tốc độ tăng trưởng kinh tế cao hơn. Tăng trưởng trưởng kinh tế đem lại những thay đổi ở nhiều mặt khác nhau của cơ cấu lao động, cơ cấu tổ chức của nội bộ các ngành. Các nước nghèo thường bắt đầu quá trình công nghiệp hóa từ quá trình sản xuất các sản phẩm thâm dụng lao động, trình độ công nghệ đơn giản. Sau đó, khi kinh tế có bước tiến hơn, trình độ đáp ứng cho phát triển nền kinh tế cao hơn thì các nước thường tiến dần lên những quá trình sản xuất thâm dụng vốn, công nghệ phức tạp hơn, đòi hỏi lao động có trình độ hơn. Điều này cho thấy chuyển dịch cơ cấu lao động đóng vai trò quyết định tăng trưởng, từ đó tăng trưởng tạo ra các nhân tố mới để thúc đẩy chuyển dịch cơ cấu ở giai đoạn phát triển tiếp theo.
Ảnh hưởng của chuyển dịch cơ cấu lao động tới tăng trưởng năng suất: theo lý thuyết của A. Lewis (1954), J. Fei và G. Ranis (1964)7, trong các nước đang phát triển có hai hệ thống cùng tồn tại song song: hệ thống kinh tế nông nghiệp truyền thống với năng suất thấp và hệ thống kinh tế công nghiệp hiện đại với năng suất cao. Việc dịch chuyển lao động từ ngành có năng suất thấp sang ngành có năng suất cao sẽ khiến cho năng suất lao động của toàn bộ nền kinh tế tăng lên. Chuyển dịch cơ cấu lao động không chỉ diễn ra giữa các ngành cấp 1, mà ngay trong nội bộ mỗi ngành cũng có sự dịch chuyển lao động sang ngành có năng suất cao. Điều này cũng sẽ làm tăng năng suất của toàn nền kinh tế. Trong trường hợp lao động dịch chuyển theo hướng ngược lại, từ ngành có năng suất lao động cao sang ngành có năng suất thấp, sẽ làm giảm năng suất của toàn nền kinh tế từ đó làm giảm tăng trưởng kinh tế.
Như vậy, chuyển dịch cơ cấu lao động có thể tác động tích cực hoặc tiêu cực đến tăng trưởng kinh tế. Hiệu ứng tích cực được khuyếch đại nếu lao động chuyển dịch sang các ngành có năng suất lao động cao và tốc độ tăng năng suất lao động cao. Hiệu ứng tiêu cực nếu các ngành có năng suất lao động tăng trưởng nhanh không thể duy trì tỷ trọng việc làm cao trong tổng lao động đang làm việc. Chuyển dịch cơ cấu lao động có thể tăng trưởng năng suất lao động xã hội và thúc đẩy tăng trưởng kinh tế, năng suất lao động xã hội cao hơn có thể thúc đẩy chuyển dịch cơ cấu lao động nhanh hơn. Khi năng suất lao động không tăng hoặc tăng chậm thì sẽ làm chậm quá trình chuyển dịch cơ cấu lao động và càng làm chậm đi quá trình tăng trưởng kinh tế.
Hai là, mô hình nghiên cứu đo lường đóng góp của chuyển dịch cơ cấu lao động tới tăng trưởng kinh tế
Mô hình nghiên cứu đo lường đóng góp của chuyển dịch cơ cấu lao động tới tăng trưởng kinh tế gồm 3 mô hình chủ yếu sau:
(1) Mô hình phân tích chuyển dịch tỷ trọng (Shift Share Analysis – SSA)
Mô hình này có nguồn gốc từ nghiên cứu của Daniel Creamer8 năm 1943 và sau đó được phát triển bởi Edgar Dunn(1960)9. SSA được phát triển và có thể ứng dụng một cách khá thuận lợi được đề cập trong nghiên cứu của Havlik (2008)10. Mô hình cũng đã được áp dụng rộng rãi đo lường sự đóng góp của chuyển dịch cơ cấu lao động tới tăng trưởng kinh tế ở các nước phát triển và đang phát triển.
(2) Mô hình hồi quy đa biến
Trong mô hình này, biến phụ thuộc là tốc độ tăng trưởng kinh tế hoặc giá trị sản lượng (GDP), còn các biến độc lập sẽ là biến đại diện cho chuyển dịch cơ cấu lao động và các biến kinh tế vĩ mô khác. Escaith và Morley11 xây dựng mô hình hồi quy trong đó chỉ số chuyển dịch cơ cấu kinh tế được sử dụng để ước lượng tác động của chuyển dịch cơ cấu kinh tế tới tốc độ tăng trưởng.
(3) Sự di chuyển nguồn lực giữa các ngành – chuyển dịch cơ cấu đầu vào.
Fan, Zhang, and Robinson, (2003)12 nghiên cứu chuyển dịch cơ cấu từ phía phân bổ nguồn lực cho các ngành trong nền kinh tế. Theo đó, các yếu tố sản xuất có đóng góp lớn hơn nếu được di chuyển từ ngành, lĩnh vực có năng suất thấp sang ngành, lĩnh vực năng suất cao hơn. Việc di chuyển nguồn lực giữa các ngành sẽ là động lực cho tăng trưởng và nâng cao hiệu quả kinh tế. Mô hình này sử dụng hàm sản xuất của Tân cổ điển ước lượng vai trò của thay đổi cơ cấu (phân bổ nguồn lực cho sản xuất) tới tăng trưởng ở cấp độ quốc gia.
3. Phương pháp nghiên cứu
3.1. Phương pháp thu thập dữ liệu
Dữ liệu để đo lường đóng góp của chuyển dịch cơ cấu lao động vào tăng trưởng kinh tế bao gồm: Tổng GDP của cả nước, GDP của ngành công nghiệp chế biến chế tạo, tổng số lao động của cả nước, lao động của ngành công nghiệp chế biến chế tạo. Các dữ liệu này được thu thập từ Cục Thống kê trong giai đoạn 2015 – 2024.
3.2. Phương pháp phân tích dữ liệu
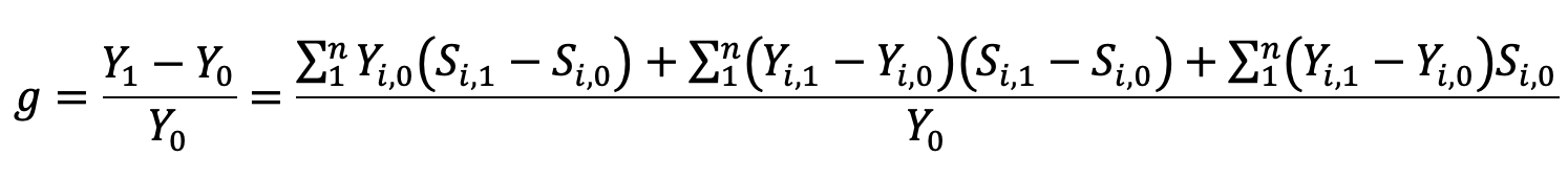
Để đo lường đóng góp của chuyển dịch cơ cấu lao động vào tăng trưởng kinh tế, tác giả sử dụng phương pháp SSA. Đây là thước đo được sử dụng phổ biến nhất để đánh giá đóng góp của chuyển dịch cơ cấu lao động vào tăng trưởng kinh tế. Theo phương pháp này, tăng trưởng kinh tế được phân tích thành:

Trong đó:
g: là tốc độ tăng trưởng giữa kỳ nghiên cứu và kỳ gốc
n: là tổng số ngành trong nền kinh tế
Y1 và Y0 lần lượt là giá trị sản lượng (GDP) của nền kinh tế ở kỳ nghiên cứu và kỳ gốc
Yi1 và Yi0 lần lượt là giá trị sản lượng của ngành i tại kỳ nghiên cứu và kỳ gốc
Si1 và Si0 lần lượt là tỷ trọng lao động của ngành i trong tổng lao động của nền kinh tế ở kỳ nghiên cứu và kỳ gốc
Bộ phận thứ nhất là phần đóng góp cho tăng trưởng do thay đổi cơ cấu lao động – hiệu ứng chuyển dịch cơ cấu tĩnh. Hiệu ứng này là dương nếu các ngành (ban đầu đã có sản lượng cao) thu hút nhiều lao động hơn tương đối so với ngành khác và ở đây đã có sự di chuyển lao động từ ngành có năng suất thấp tới ngành có năng suất cao hơn (ngành i).
Bộ phận thứ hai đo lường sự đóng góp cho tăng trưởng do tác động của cả thay đổi trong cơ cấu lao động và cơ cấu sản lượng của các ngành trong nền kinh tế – hiệu ứng chuyển dịch cơ cấu động. Nếu các ngành tăng trưởng lớn hơn và thu hút thêm lao động (tăng tỷ trọng lao động của ngành trong nền kinh tế), thì tác động tổng hợp của hai sự thay đổi này sẽ là tích cực tới tăng trưởng. Hiệu ứng này sẽ là âm nếu như ngành tăng trưởng cao nhưng lại không duy trì được tỷ trọng lao động của ngành trong tổng thể (ngành sử dụng công nghệ ít lao động hoặc thay thế lao động).
Bộ phận thứ ba đo lường tăng trưởng với giả định rằng không có chuyển dịch lao động giữa các ngành trong nền kinh tế giữa năm nghiên cứu và năm gốc. Hiệu ứng này được gọi là hiệu ứng chuyển dịch nội bộ ngành.
Hiệu ứng chuyển dịch cơ cấu lao động được cấu thành từ bộ phận thứ nhất và thứ hai tức là: Hiệu ứng chuyển dịch cơ cấu lao động = Hiệu ứng chuyển dịch cơ cấu tĩnh + Hiệu ứng chuyển dịch cơ cấu động.
Khi đó, đóng góp của chuyển dịch cơ cấu lao động vào tăng trưởng kinh tế được tính theo công thức sau:

4. Kết quả nghiên cứu
Thứ nhất, chuyển dịch cơ cấu lao động trong ngành công nghiệp chế biến chế tạo ở Việt Nam
Nghiên cứu sự thay đổi về tỷ trọng lao động làm việc trong các ngành kinh tế là nội dung cơ bản để đánh giá quá trình chuyển dịch cơ cấu lao động theo ngành. Ngành công nghiệp chế biến chế tạo là ngành có nguồn lao động dồi dào, lực lượng lao động bổ sung hàng năm khá cao, bảo đảm đáp ứng nhu cầu nguồn lao động cho sự phát triển của ngành trong những năm gần đây.
Tỷ trọng lao động trong ngành công nghiệp chế biến chế tạo có xu hướng tăng dần trong giai đoạn 2015 – 2024. Nếu như năm 2015, số lao động trong ngành đạt hơn 8 triệu người (chiếm 15,92% tổng số lao động) thì đến năm 2024 đã tăng lên 12,2 triệu người (chiếm 23,57%), tăng 7,65 điểm phần trăm so với năm 2015 và đạt mức tăng cao nhất so với các ngành kinh tế khác.
Xét về tốc độ tăng lao động, năm 2021 giảm nhẹ 0,82%, tương đương 93,2 nghìn người; các năm còn lại đều có tốc độ tăng trưởng một con số, riêng năm 2019, tốc độ tăng lao động trong ngành đạt cao nhất là 12,88%.
Thứ hai, đóng góp của chuyển dịch cơ cấu lao động đến tăng trưởng kinh tế của ngành công nghiệp chế biến chế tạo ở Việt Nam
Sử dụng phương pháp SSA, tính toán đóng góp vào tăng trưởng kinh tế của ngành công nghiệp chế biến chế tạo ở Việt Nam (bảng 1).

Đóng góp của ngành công nghiệp chế biến chế tạo vào tăng trưởng kinh tế được tổng hợp từ đóng góp tích cực của cả ba cấu phần: (1) Hiệu ứng chuyển dịch cơ cấu tĩnh có giá trị dương trong giai đoạn 2015 – 2024, chứng tỏ ngành công nghiệp chế biến chế tạo đã thu hút nhiều lao động hơn so với các ngành khác và đã có sự di chuyển lao động từ ngành có năng suất lao động thấp vào ngành công nghiệp chế biến chế tạo. Năm 2019, ngành thu hút được nhiều lao động nhất; năm 2023, ngành thu hút được ít lao động từ các ngành khác; (2) Hiệu ứng chuyển dịch cơ cấu động có giá trị dương chứng tỏ sự đóng góp này là do tăng tỷ trọng lao động của ngành công nghiệp chế biến chế tạo trong nền kinh tế; (3) Hiệu ứng chuyển dịch nội bộ ngành có tác động tích cực do đóng góp của tăng trưởng năng suất lao động trong nội bộ ngành.

Đóng góp của ngành công nghiệp chế biến chế tạo vào tăng trưởng kinh tế (g) có sự biến động trong giai đoạn 2015 – 2024, đạt tốc độ tăng trưởng cao nhất vào năm 2019 (0,0092), thấp nhất vào năm 2023 (0,0021). Nếu như sự đóng góp vào tốc độ tăng trưởng kinh tế của ngành công nghiệp chế biến chế tạo có xu hướng tăng dần đều từ năm 2015 – 2019, thì đến năm 2020 lại giảm chỉ còn 0,0033 và đến năm 2024 đã tăng trở lại đạt 0,0059.

Trong giai đoạn 2015 – 2024, đóng góp của chuyển dịch cơ cấu lao động vào tăng trưởng kinh tế của ngành công nghiệp chế biến chế tạo chiếm tỷ trọng cao nhất vào năm 2021 (62,11%) và năm 2023 là thấp nhất (6,76%). Đóng góp của hiệu ứng chuyển dịch nội bộ ngành vào tăng trưởng kinh tế tăng dần trong các năm 2015 – 2018 (73,37%), sau đó giảm vào năm 2019 và chiếm tỷ trọng cao nhất vào năm 2023 (93,24%).
Đóng góp của hiệu ứng chuyển dịch nội ngành vào tăng trưởng kinh tế có xu hướng tăng và đóng góp của chuyển dịch cơ cấu lao động có xu hướng giảm qua các năm, điều này được lý giải là khi cơ cấu lao động ổn định hơn, nếu nền kinh tế không tận dụng được tác động của chuyển dịch cơ cấu lao động thì ngành phải tự thay đổi về quản lý, công nghệ… để tăng năng suất lao động. Điều này có thể thấy rõ trong năm 2023, đóng góp chủ yếu từ hiệu ứng chuyển dịch nội ngành (93,24%). Khi hiệu ứng chuyển dịch cơ cấu lao động đóng góp ít, đòi hỏi ngành phải tự nâng cao năng suất để cạnh tranh tốt hơn.
Như vậy, ngành công nghiệp chế biến, chế tạo liên tục tăng trưởng cả về quy mô nền kinh tế và tỷ trọng lao động. Trong suốt giai đoạn 2015 – 2024, ngành luôn đóng góp tích cực vào tăng trưởng kinh tế chung. Điều này cho thấy ngành đang có sự chuyển dịch về chất, tăng năng suất lao động nhờ cải tiến công nghệ, quản lý và là một trong những ngành tăng trưởng chủ đạo tại Việt Nam.
5. Hàm ý chính sách
Từ kết quả nghiên cứu, bài viết đề xuất một số định hướng chính sách như sau:
Một là, cần xây dựng chính sách hướng tới mục tiêu khuyến khích tái phân bổ nguồn lực (vốn, lao động) một cách hiệu quả, nâng cao đóng góp của chuyển dịch cơ cấu lao động vào tăng trưởng chung của cả nước. Ngành công nghiệp chế biến, chế tạo cần tiếp tục phát huy thế mạnh tăng trưởng cả về tốc độ tăng trưởng và tỷ trọng việc làm, tức là tăng cả về quy mô và hiệu quả hoạt động. Định hướng phát triển ngành là lấy hiệu quả kinh tế, đo bằng năng suất và tốc độ tăng năng suất là mục tiêu số một.
Hai là, xây dựng các chính sách phát triển ngành công nghiệp chế biến, chế tạo sao cho vừa đạt mục tiêu về cơ cấu ngành, vừa tận dụng những đóng góp tích cực từ chuyển dịch cơ cấu lao động ngành (gồm chuyển dịch cơ cấu lao động nội bộ ngành và chuyển dịch cơ cấu lao động giữa các ngành). Trong bối cảnh hội nhập kinh tế quốc tế, thị trường lao động không còn bó hẹp trong phạm vi một quốc gia mà mở rộng ra nước ngoài. Vì vậy, chuyển dịch cơ cấu lao động không chỉ đơn thuần là di chuyển từ ngành có năng suất lao động thấp sang ngành công nghiệp chế biến, chế tạo mà phải hướng tới việc phát huy lợi thế của ngành công nghiệp chế biến, chế tạo để tham gia vào chuỗi giá trị toàn cầu và mang lại giá trị gia tăng ngày một cao hơn.
Ba là, Nhà nước cần có chính sách hỗ trợ tích cực cho lực lượng lao động chuyển dịch từ các ngành, nghề khác (nông, lâm nghiệp và thủy sản; khai khoáng…) sang ngành công nghiệp chế biến, chế tạo, như: chính sách cho vay đầu tư, chính sách đào tạo nghề, chính sách di dân, các dịch vụ đào tạo nghề… nhằm tạo điều kiện cho lực lượng lao động có điều kiện chuyển đổi nghề nghiệp và đủ trình độ chuyên môn để đóng góp tích cực vào tăng trưởng năng suất lao động của ngành. Bên cạnh đó, cần tập trung đào tạo, phát triển nguồn nhân lực chất lượng cao, đáp ứng yêu cầu phát triển của ngành, đáp ứng yêu cầu toàn cầu hóa và hội nhập kinh tế quốc tế.
Bốn là, tiếp tục thực hiện, đánh giá và hoàn thiện các chính sách hỗ trợ của Nhà nước, như: phát triển ngành công nghiệp chế biến, chế tạo theo hướng công nghiệp hóa, hiện đại hóa; phát triển các vùng kinh tế trọng điểm; phát triển công nghiệp hỗ trợ; tăng năng suất và chất lượng sản phẩm; chính sách hỗ trợ các doanh nghiệp trong ngành tìm kiếm và mở rộng thị trường xuất khẩu, tìm kiếm nguồn vốn đầu tư trực tiếp nước ngoài để mở rộng quy mô và tăng năng suất lao động.
6. Kết luận
Như vậy, chuyển dịch cơ cấu lao động trong ngành công nghiệp chế biến, chế tạo có đóng góp tích cực vào tăng trưởng kinh tế. Đây cũng là ngành năng động nhất trong nền kinh tế vì vừa làm tăng năng suất lao động trong ngành, tạo ra nhiều việc làm mới, vừa tăng cả về quy mô và tỷ trọng lao động. Chuyển dịch cơ cấu lao động ở Việt Nam nói chung và chuyển dịch cơ cấu lao động trong ngành công nghiệp chế biến, chế tạo nói riêng cần được định hướng phù hợp với từng giai đoạn phát triển và theo hướng đổi mới mô hình tăng trưởng: xây dựng cơ cấu kinh tế, cơ cấu lao động hợp lý, phát huy lợi thế so sánh, có năng suất lao động và sức cạnh tranh cao, tham gia sâu vào mạng lưới sản xuất và chuỗi giá trị toàn cầu; văn minh công nghiệp chiếm ưu thế trong sản xuất và đời sống xã hội; phát triển nhanh và bền vững phù hợp với điều kiện của từng thời kỳ.
Chú thích:
1. Cục Thống kê (2024). Thông cáo báo chí kết quả điều tra dân số và nhà ở giữa kỳ năm 2024. https://www.nso.gov.vn, ngày 05/12/2025
2. Cục Thống kê (2025). Thông cáo báo chí về tình hình lao động, việc làm quý II và 6 tháng đầu năm 2025. https://www.nso.gov.vn, ngày 05/12/2025.
3. Lewis. W.A. (1954). Economic development with unlimited supplies of labour. Manchester School of Economic and Social Studies, 22, 139 – 191.
4. Oshima, H.T (1963). The Fei – Rannis model of economic development: Comment. American Economic Review, 53, pp.448 – 52.
5. McMillan, Margaret, and Dani Rodrik (2011). Globalization, structural change, and economic growth. Making Globalization Socially Sustainable, ILO and WTO, Geneva.
6. Vũ Thị Thu Hương (2017). Chuyển dịch cơ cấu lao động tại Việt Nam: Các yếu tố tác động và vai trò đối với tăng trưởng kinh tế. Luận án tiến sĩ, Trường Đại học Kinh tế quốc dân.
7. Fei – Ranis (1964). Development of labor surplus economy: The theory and policy. Homewood.
8. Creamer D. (1943). Shifts of manufacturing industries. In Florence PS, Fritz WG, Gilles RC (eds), Industrial Location and National Resources. US National Resources Planning Board, US Government Printing Office, Washington, DC, 85 – 104.
9. Dunn E (1960). A statistical and analytical technique for regional science. Pap Reg Sci Assoc 6:97 – 112.
10. Havlik, P. (2008). Economic restructuring in the new EU Member States and Selected Newly Independent States: Effects on Growth. Employment and Productivity.
11. Escaith và Morley (2000). The impact of structural reforms on growth in Latin America and the Caribbean: an empirical estimation. Economic Development Division, Santiago, Chile.
12. Fan, Zhang, and Robinson (2003). Structural Change and Economic Growth in China. Review of Development Economics, 7(3), pp.360 – 377.



