TS. Đào Quyết Thắng
Trường Đại học Thủ Dầu Một
TS. Vũ Thị Thanh Minh
Trường Đại học Thành Đô
(Quanlynhanuoc.vn) – Nghiên cứu đánh giá tiềm năng phát triển du lịch nông nghiệp tại vùng Nam Bộ Việt Nam. Phương pháp phân tích thứ bậc được nhóm tác giả sử dụng để xác định trọng số của 4 nhân tố với 13 tiêu chí đo lường đánh giá tiềm năng phát triển du lịch nông nghiệp. Kết quả nghiên cứu cho thấy, tiềm năng du lịch nông nghiệp tại vùng Nam Bộ được đánh giá cao, trong đó, yếu tố sự sẵn sàng của cộng đồng địa phương được đánh giá với mức điểm cao nhất, tiếp đến là nhân tố tài nguyên du lịch nông nghiệp địa phương, nhân tố sự quan tâm của chính quyền địa phương được đánh giá mức điểm thấp nhất. Đồng thời, nghiên cứu cũng đưa ra một số hàm ý góp phần thúc đẩy tiềm năng du lịch nông nghiệp vùng phát triển bền vững.
Từ khóa: Du lịch nông nghiệp, vùng Nam Bộ, đánh giá tiềm năng, thúc đẩy phát triển.
1. Đặt vấn đề
Du lịch nông nghiệp gắn liền với các hoạt động du lịch diễn ra ở vùng nông thôn, các hoạt động nông nghiệp, cảnh quan nông thôn, đời sống cộng đồng cùng với những di sản văn hóa truyền thống của địa phương. Du lịch nông nghiệp giúp khai thác hiệu quả lợi thế du lịch và nông nghiệp tại địa phương, tạo thêm nguồn thu nhập cho nông dân, góp phần đa dạng về các hoạt động kinh tế và kinh doanh ở khu vực nông thôn. Nghiên cứu tập trung vào hai mục tiêu: (1) xếp hạng trọng số các tiêu chí đánh giá tiềm năng phát triển du lịch nông nghiệp, (2) phân tích các tiêu chí đánh giá tiềm năng phát triển du lịch nông nghiệp tại các địa phương trong vùng.
Tuy nhiên, thực trạng du lịch nông nghiệp ở miền Nam vẫn còn nhiều thách thức. Tính tự phát trong phát triển các điểm du lịch còn phổ biến, dẫn đến thiếu quy hoạch đồng bộ và đầu tư bài bản về cơ sở vật chất, hạ tầng và dịch vụ. Chất lượng sản phẩm du lịch chưa cao, thiếu tính chuyên nghiệp và sự đa dạng trong các hoạt động trải nghiệm. Bên cạnh đó, vấn đề bảo tồn cảnh quan tự nhiên và các giá trị văn hóa bản địa trong quá trình phát triển du lịch cũng cần được quan tâm hơn nữa để đảm bảo sự phát triển bền vững của loại hình du lịch này.
2. Tổng quan nghiên cứu
Nhiều nghiên cứu đã khẳng định vai trò then chốt của du lịch nông nghiệp trong việc thúc đẩy sự phát triển kinh tế – xã hội ở khu vực nông thôn. Các đơn vị kinh doanh và hộ gia đình ngày càng nhận thức rõ tiềm năng của du lịch nông nghiệp tại địa phương, từ đó thúc đẩy họ tích cực khai thác và tham gia vào các hoạt động liên quan đến du lịch nông nghiệp (Roman và cộng sự, 2020).
Căn cứ trên lợi thế nói chung, lợi thế so sánh và lợi thế cạnh tranh nói riêng thì lợi thế du lịch được hiểu là khả năng thu hút du khách của một điểm đến (có thể là một địa phương, vùng, lãnh thổ hoặc quốc gia). Khả năng này phụ thuộc vào các yếu tố tạo nên lợi thế so sánh của điểm đến đó so với các đối thủ khác (Ngô Nguyễn Hiệp Phước, 2018). Để thu hút du khách hiệu quả, một điểm đến cần chú trọng đến khả năng đáp ứng nhu cầu đa dạng của họ. Do đó, lợi thế du lịch được biểu hiện thông qua khả năng thu hút và đáp ứng nhu cầu của du khách một cách dễ dàng hơn so với các điểm đến khác, bao gồm các khía cạnh, như: vị trí địa lý, khả năng tiếp cận thuận lợi; tài nguyên du lịch phong phú, sự hấp dẫn, đa dạng của các sản phẩm, dịch vụ du lịch và sự bảo đảm về môi trường tự nhiên và xã hội so với các điểm đến khác.
Theo Julianna Priskin (2000), đánh giá tài nguyên thiên nhiên cho du lịch dựa vào thiên nhiên có 4 tiêu chí đó là điểm tham quan, khả năng truy cập, hạ tầng và mức độ suy thoái thị trường. Trong đó, điểm tham quan là mức độ đa dạng của điểm đến, khả năng truy cập là sự khó khăn khi truy cập, hạ tầng là sự hỗ trợ cho hoạt động du lịch của hạ tầng và mức độ suy thoái môi trường là khả năng phục hồi của môi trường tự nhiên.
Nghiên cứu của Wilson và cộng sự (2001) đã chỉ ra 10 yếu tố quan trọng cho sự phát triển của du lịch nông thôn, bao gồm: xây dựng các chương trình du lịch trọn gói hấp dẫn; vai trò của người lãnh đạo cộng đồng; sự hỗ trợ và tham gia của chính quyền địa phương; bảo đảm nguồn kinh phí phát triển du lịch; hoạch định chiến lược phát triển du lịch rõ ràng; sự phối hợp đồng bộ giữa doanh nghiệp du lịch và lãnh đạo địa phương; sự hợp tác hiệu quả giữa doanh nghiệp du lịch và cộng đồng dân cư địa phương; hỗ trợ công nghệ thông tin và cơ sở vật chất kỹ thuật cho quảng bá du lịch; xây dựng văn phòng hỗ trợ, tổ chức sự kiện marketing hiệu quả và sự hỗ trợ rộng rãi của cộng đồng địa phương trong các hoạt động du lịch nông thôn.
Nghiên cứu của Sevgi Tüzün Rad (2011) về áp dụng mô hình phát triển du lịch nông nghiệp hướng đến phụ nữ trong việc cải thiện kinh tế địa phương. Nghiên cứu chỉ ra rằng, tinh thần hợp tác của người dân, sự sẵn sàng quảng bá di sản văn hóa của họ, sự sẵn có của cơ sở nội trú ở nông thôn, các tour du lịch nông nghiệp tiềm năng và các cơ sở sản xuất, các hoạt động liên quan đến dệt thảm, thủ công và nấu ăn truyền thống của địa phương, kết hợp với sự phong phú của tài nguyên du lịch và văn hóa.
Theo Phạm Xuân Hậu (2017), các yếu tố được xem xét để đánh giá tiềm năng du lịch nông thôn, bao gồm: (1) vị trí địa lí; (2) các loại tài nguyên du lịch (tài nguyên tự nhiên, nhân văn); (3) hạ tầngkỹ thuật, cơ sở vật chất; (4) nhu cầu du lịch, chính sách quốc gia…, phục vụ phát triển du lịch nông nghiệp.
Ngoài ra, Bùi Thị Lan Hương (2017) phân tích các thành phần tiềm năng phát triển du lịch nông nghiệp nông thôn, bao gồm: yếu tố về nguồn cầu, yếu tố về nguồn cung, như: tài nguyên du lịch, hạ tầng kỹ thuật, điều kiện vệ sinh, tình hình an ninh trật tự, thái độ sẵn sàng của cộng đồng địa phương, năng lực tham gia tổ chức và quản lý hoạt động kinh doanh, sự quan tâm của chính quyền địa phương.
Nghiên cứu của Ngô Phương Lan và cộng sự (2021) đã ghi nhận những bước phát triển ban đầu của du lịch nông nghiệp tại đồng bằng sông Cửu Long, đồng thời, khẳng định thương hiệu du lịch của vùng đã đạt được một số vị thế nhất định trên cả thị trường trong nước và quốc tế. Nghiên cứu này tập trung phân tích đánh giá của các doanh nghiệp và cộng đồng địa phương về tình hình phát triển du lịch nông nghiệp hiện tại trong khu vực. Nội dung đánh giá tập trung vào các khía cạnh sau: những điểm mạnh hiện có của du lịch nông nghiệp tại địa phương; các sản phẩm nông nghiệp đặc trưng được du khách yêu thích và những hạn chế còn tồn tại, chẳng hạn như tiềm năng du lịch nông nghiệp chưa được khai thác tối ưu, cũng như tình trạng hoạt động manh mún, tự phát của các nông hộ và doanh nghiệp tư nhân làm du lịch nông nghiệp tại địa phương.
Có thể thấy, mặc dù có nhiều nghiên cứu đã đánh giá về tiềm năng phát triển du lịch nông nghiệp theo nhiều phương pháp khác nhau, tuy nhiên, việc kết hợp phương pháp nghiên cứu chuyên gia kết hợp với Phương pháp phân tích thứ bậc – AHP và khảo sát thực trạng để lượng hóa tiềm năng phát triển du lịch nông nghiệp vẫn đang được bỏ ngõ cần có nghiên cứu đánh giá. Do đó, nghiên cứu này sẽ cố gắng kết hợp các phương pháp để lấp đầy khoảng trống nói trên.
3. Phương pháp nghiên cứu
Thứ nhất, phương pháp phân tích thứ bậc (AHP).
Để xác định các tiêu chí đánh giá tiềm năng du lịch nông nghiệp, nghiên cứu tiến hành phỏng vấn 20 chuyên gia về lĩnh vực du lịch nông nghiệp. Kết quả khảo sát chuyên gia cho thấy, 100% chuyên gia đồng tình với 4 nhân tố mà nhóm nghiên cứu đề xuất, tuy nhiên, trong 13 tiêu chí thì chỉ có 5 tiêu chí thành phần được 100% chuyên gia đồng ý, gồm: hệ thống tài nguyên du lịch nhân văn đa dạng, phong phú, hấp dẫn; tài nguyên tự nhiên có nhiều ưu ái để phát triển du lịch; mức độ liên kết giữa các điểm du lịch nông nghiệp với các điểm du lịch khác trong tỉnh/các công ty lữ hành/các dịch vụ lưu trú/các dịch vụ khác; dân cư địa phương có nhiều kỹ năng phục vụ tốt cho mục tiêu phát triển du lịch nông nghiệp và chính quyền địa phương ban hành các chủ trương, chính sách và kế hoạch cụ thể để phát triển du lịch nông nghiệp tại địa phương. 8 tiêu chí còn lại đều được chuyên gia đồng thuận cao với mức đồng ý từ 80% trở lên. Chính vì vậy, 4 nhóm nhân tố với 13 tiêu chí thành phần này được nhóm sử dụng để đo lường tiềm năng du lịch nông nghiệp tại vùng Nam Bộ. Sau đó nhóm nghiên cứu tiến hành thảo luận nhóm chuyên gia để xác định trọng số các tiêu chí đánh giá này bằng phương pháp AHP, các nhân tố và tiêu chí cụ thể ở bảng dưới:
Bảng 1: Các tiêu chí đánh giá tiềm năng du lịch nông nghiệp của địa phương
| STT | Nội dung | Tên tiêu chí | Ký kiệu | Căn cứ | |
| 1 | Tài nguyên du lịch nông nghiệp của địa phương (T1) | Vị trí địa lý thuận lợi | T1.1 | Julianna Priskin (2000), Vengesayi (2003), Crouch và Ritchie (1999), Phạm Xuân Hậu (2017), Bùi Thị Lan Hương (2017) | |
| Hệ thống tài nguyên du lịch nhân văn đa dạng, phong phú, hấp dẫn | T1.2 | ||||
| Tài nguyên tự nhiên có nhiều ưu ái để phát triển du lịch | T1.3 | ||||
| Mức độ phát triển hệ thống giao thông vận tải, thông tin liên lạc, cơ sở lưu trú và các dịch vụ khác tốt | T1.4 | ||||
| 2 | Xu hướng phát triển du lịch nông nghiệp và thị trường du lịch nông nghiệp (T2) | Tình hình phát triển du lịch của vùng tốt | T2.1 | Ertuna & Kirbas (2012), Phạm Xuân Hậu (2017),Bùi Thị Lan Hương (2017) | |
| Quan niệm, nhu cầu và hành vi của du khách cao | T2.2 | ||||
| Mức độ liên kết giữa các điểm du lịch nông nghiệp với các điểm du lịch khác trong tỉnh/các công ty lữ hành/các dịch vụ lưu trú/các dịch vụ khác | T2.3 | ||||
| 3 | Sự sẵn sàng của cộng đồng địa phương (T3) | Dân cư địa phương có nhiều kỹ năng phục vụ tốt cho mục tiêu phát triển du lịch nông nghiệp | T3.1 | Aref (2010), Sevgi Tüzün Rad (2011), Ertuna & Kirbas (2012); Crouch và Ritchie (1999) ; McGehee and Andereck, 2004) | |
| Dân cư địa phương có thái độ thân thiện, hiếu khách với khách du lịch | T3.2 | ||||
| Dân cư địa phương sẵn sàng chia sẻ không gian cho phát triển du lịch nông nghiệp | T3.3 | ||||
| 4 | Sự quan tâm của chính quyền địa phương (T4) | Chính quyền địa phương ban hành các chủ trương, chính sách và kế hoạch cụ thể để phát triển du lịch nông nghiệp tại địa phương | T4.1 | Phạm Xuân Hậu (2017), Bùi Thị Lan Hương (2017) | |
| Chính quyền địa phương hỗ trợ đầu tư vật chất, kỹ thuật để hỗ trợ phát triển du lịch nông nghiệp | T4.2 | ||||
| Chính quyền địa phương tăng cường, quảng bá xúc tiến để hỗ trợ phát triển du lịch nông nghiệp | T4.3 | ||||
Sau khi đã xác định được các tiêu chí, nghiên cứu sử dụng phương pháp AHP (Saaty, 1980) để xây dựng cây phân cấp AHP, như sau:

Tiếp đến, nghiên cứu tiếp tục thảo luận chuyên gia để xác định thang đánh giá tầm quan trọng tương đối của các nhân tố đánh giá theo nguyên tắc phân hạng tầm quan trọng, chẳng hạn: có 2 tiêu chí cần đánh giá là X và Y; thang đánh giá tầm quan trọng được xác định, như sau:
Bảng 2: Thang đánh giá tầm quan trọng tương đối của các tiêu chí đánh giá
| Mức độ | Định nghĩa | Giải thích |
| 1 | Quan trọng bằng nhau | 2 yếu tố X và Y đóng góp như nhau |
| 3 | Quan trọng có sự trội hơn một ít | Yếu tố X được lựa chọn, quan tâm hơn yếu tố Y trong sự đóng góp |
| 5 | Quan trọng nhiều hơn | Yếu tố X đóng góp nhiều hơn Y |
| 7 | Rất quan trọng, dễ nhận thấy sự khác biệt ảnh hưởng | Yếu tố X đóng góp hơn Y rất nhiều, thể hiện rõ ràng cho trường hợp cụ thể |
| 9 | Cực kỳ quan trọng, lấn áp hoàn toàn | Sự quan trọng hơn hẳn ở trên mức có thể, gần như triệt tiêu |
| 2, 4, 6, 8 | Mức trung gian giữa các mức trên | Cần sự thỏa hiệp giữa hai mức độ/nhận định |
Sau đó, nhóm nghiên cứu xây dựng ma trận so sánh các chỉ tiêu đánh giá theo kết quả thảo luận các nhóm chuyên gia của 4 nhân tố (Bảng 1) và tính trọng số:

Từ các ma trận, cần kiểm tra tỷ lệ nhất quán (CR – Consistency ratio) nhằm thể hiện sự nhất quán của các chuyên gia trong quá trình thảo luận được tính theo công thức: CR 0.1 (10%) xem như là phù hợp. Trong đó:
– Chỉ số nhất quán CI (Consistency Index), được tính:
CI = (λmax – n) (n-1), với:
n: số tiêu chí đánh giá
λmax: giá trị riêng của ma trận so sánh
– Xác định mối liên hệ giữa CR và CI, được tính: CR = CI/RI
Với RI là chỉ số ngẫu nhiên (Random Index). RI được xác định theo bảng sau:

Có thể khái quát việc xác định trọng số đánh giá từng tiêu chí và nội dung đánh giá, như sau:

Tương tự, nghiên cứu tiếp tục lặp lại các bước phân tích AHP để xác định trọng số cho các tiêu chí của T1, T2, T3 và T4.
Đồng thời, dựa vào trọng số đã được xác định ở bước trên, tổng điểm đánh giá tiềm năng phát triển du lịch các tỉnh phía Bắc theo các công thức:

Trong đó: T: là tổng điểm đánh giá tiềm năng phát triển du lịch vùng Nam Bộ
Pi: là trọng số tiêu chí thứ i (i = 1,2…4) được tính từ kết quả phân tích AHP.
Ti: là điểm của trụ cột được tính bằng công thức:

Với: Pij: là trọng số tiêu chí thứ j của trụ cột thứ i (j = 1,2…13) được tính từ kết quả phân tích AHP.
Tij: là điểm của tiêu chí đạt được theo phiếu điều tra
Thứ ba, phương pháp thu thập dữ liệu và cỡ mẫu nghiên cứu
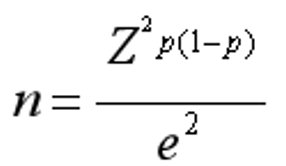
Để thực hiện mục tiêu nghiên cứu, nhóm nghiên cứu sử dụng nguồn dữ liệu sơ cấp được thu thập bằng cách dùng phiếu khảo sát theo mẫu được thiết kế sẵn để khảo sát các nhóm đối tượng khác nhau ở Vùng Nam Bộ, Việt Nam. Nhóm nghiên cứu sử dụng phương pháp lấy mẫu ngẫu nhiên phân tầng để lựa chon đối tượng khảo sát. Áp dụng công thức mẫu tối thiểu.

Với độ tin cậy 95% do đó cỡ mẫu tối thiểu sẽ là n = 1,962*0,5(1-0,5)/0,052 =385 (mẫu).
Do đó, nghiên cứu này sẽ thực hiện khảo sát 450 phiếu, tuy nhiên, kết quả khảo sát thu về sau khi lọc bỏ các phiếu không đủ thông tin còn lại 392 quan sát đưa vào phân tích chiếm tỉ lệ 87,1%. Các đối tượng khảo sát được thể hiện ở bảng sau:
Bảng 5: Số lượng khảo sát theo đối tượng
| STT | Đối tượng | Số lượng khảo sát | Số lượng phân tích |
| 1 | Dân cư địa phương | 100 | 92 |
| 2 | Chính quyền địa phương | 75 | 64 |
| 3 | Đại diện các doanh nghiệp du lịch | 75 | 62 |
| 4 | Khách du lịch | 200 | 174 |
4. Kết quả nghiên cứu và thảo luận
Áp dụng phương pháp AHP cho 4 nhân tố và các tiêu chí con cho 4 nhân tố này, hệ số nhất quán cuối cùng được thể hiện ở Bảng 6 dưới đáp ứng yêu cầu nhỏ hơn 0,1. Do đó trọng số được tính toán ra là đáp ứng yêu cầu của phương pháp AHP.
Bảng 6: Bảng kết quả hệ số nhất quán CR
| Loại | T | T1 | T2 | T3 | T4 |
| Tỷ số nhất quán CR | 0,00688/0,89 =0,00773 | 0,003459/0,89 =0,003887 | 0,009169/0,52 =0,017633 | 0,004604/0,52 =0,008854 | 0,004604/0,52 =0,008854 |
Như vậy, kết quả nghiên cứu cho thấy trọng số của các tiêu chí đánh giá tiềm năng phát triển du lịch nông nghiệp, như sau:

Hai là, kết quả đánh giá tiềm năng du lịch nông nghiệp trên địa bàn tỉnh Bình Định.

Kết quả khảo sát cho thấy, du lịch nông nghiệp tại vùng Nam Bộ có nhiều điểm vượt trội nhưng cũng còn nhiều thách thức cần vượt qua. Về tài nguyên du lịch nông nghiệp của địa phương, vùng được đánh giá cao về vị trí địa lý thuận lợi (4,28/5 điểm) và đặc biệt nổi trội về tài nguyên tự nhiên ưu đãi với 4,45/ 5 điểm. Điều này đã tạo nền tảng vững chắc cho các trải nghiệm du lịch gắn liền với nông nghiệp. Tài nguyên du lịch nhân văn cũng được đánh giá ở mức khá với 3,85/5 điểm, điều này hứa hẹn mang đến những khám phá văn hóa độc đáo cho du khách. Tuy nhiên, mức độ phát triển hạ tầng du lịch (3,23/5 điểm) vẫn còn là một điểm hạn chế cần được đầu tư và nâng cấp nhằm phục vụ cho phát triển du lịch nói chung và du lịch nông nghiệp nói riêng.
Về xu hướng phát triển và thị trường du lịch nông nghiệp, tình hình du lịch chung của vùng được đánh giá khá tích cực (3,44/5 điểm), cùng với đó là sự nhận thức và nhu cầu ngày càng tăng của du khách đối với loại hình du lịch nông nghiệp cũng ngày càng gia tăng, mang đến nhiều cơ hội và thuận lợi trong thu hút khách du lịch (3,95/5 điểm). Mặc dù vậy, mức độ liên kết giữa các điểm du lịch nông nghiệp với các thành phần khác trong ngành du lịch (2,93/5 điểm) lại là một yếu tố đáng lo ngại, điều này cho thấy sự phối hợp chưa chặt chẽ và cần được cải thiện để tạo ra các sản phẩm du lịch hấp dẫn hơn và sự kết nối các điểm du lịch tốt hơn tạo ra các tour du lịch đa dạng và phong phú.
Sự sẵn sàng của cộng đồng địa phương là một điểm mạnh đáng chú ý, với thái độ thân thiện, hiếu khách được đánh giá rất cao (4,36/5 điểm) và sự sẵn lòng chia sẻ không gian cho phát triển du lịch (3,67/5 điểm), điều này đã tạo đà cho du lịch nông nghiệp của vùng phát triển mạnh, tạo ra thương hiệu riêng của vùng. Kỹ năng phục vụ của người dân cũng ở mức khá (3,50/5 điểm), tuy nhiên người dân vẫn cần được bồi dưỡng thêm để đáp ứng các tiêu chuẩn chuyên nghiệp và yêu cầu ngày càng cao của du khách. Cuối cùng, sự quan tâm của chính quyền địa phương cho thấy những nỗ lực ban đầu trong việc quảng bá, xúc tiến (3,45/5 điểm). Tuy nhiên, xây dựng chính sách và kế hoạch (3,08/5 điểm) vẫn chưa được quan tâm chú trọng đúng mức, cũng như sự hỗ trợ đầu tư vật chất và kỹ thuật (2,74/5 điểm) vẫn còn hạn chế và cần được ưu tiên hơn để tạo động lực thực sự cho sự phát triển bền vững của du lịch nông nghiệp tại vùng Nam Bộ.
Thông qua kết quả khảo sát kết hợp với đánh giá trọng số cho kết quả đánh giá tổng thể tiềm năng phát triển du lịch nông nghiệp của vùng Nam Bộ được thể hiện trong biểu đồ sau:

Thực trạng du lịch nông nghiệp ở vùng Nam Bộ hiện nay có thể được đánh giá ở mức khá (T – 3,5831/5 điểm). Điều này phản ánh một môi trường phát triển vừa có tiềm năng nhưng cũng tồn tại những thách thức rõ ràng. Thực tế cho thấy, Nam Bộ đang sở hữu những tài nguyên du lịch nông nghiệp phong phú (T1 – 3,.9897/5 điểm), từ các miệt vườn trù phú đến những làng nghề truyền thống, thu hút sự quan tâm của du khách muốn trải nghiệm đời sống nông thôn. Bên cạnh đó, sự thân thiện và cởi mở của cộng đồng địa phương (T3 – 3,9917/5 điểm) là một yếu tố quan trọng, tạo nên ấn tượng tốt đẹp và sự gắn kết cho du khách. Tuy nhiên, thực trạng phát triển du lịch nông nghiệp vẫn còn nhiều hạn chế. Thị trường và sự liên kết ngành (T2 – 3,2443/5 điểm) chưa thực sự mạnh mẽ, thể hiện ở việc thiếu các tour du lịch nông nghiệp chuyên nghiệp và sự phối hợp rời rạc giữa các nhà cung cấp dịch vụ. Đặc biệt, sự quan tâm và hỗ trợ từ chính quyền địa phương (T4 – 3,0398/5 điểm) còn khá hạn chế. Đầu tư hạ tầng và các chính sách hỗ trợ cụ thể vẫn chưa đáp ứng được kỳ vọng và nhu cầu thực tế của ngành.
Tóm lại, du lịch nông nghiệp ở Nam Bộ hiện đang ở giai đoạn có tiềm năng nhưng chưa được khai thác tối đa do những hạn chế về liên kết ngành và sự hỗ trợ từ các cấp quản lý. Để thực sự phát triển và trở thành một điểm sáng trên bản đồ du lịch Việt Nam, ngành du lịch nông nghiệp vùng Nam Bộ cần có những bước đột phá trong việc xây dựng liên kết, nâng cấp cơ sở vật chất, hạ tầng kỹ thuật, đồng thời, cũng cần có sự đầu tư, định hướng chiến lược rõ ràng từ Nhà nước.
5. Kết luận
Bài viết sử dụng kết hợp phương pháp AHP và khảo sát thực trạng để đánh giá tiềm năng phát triển du lịch nông nghiệp vùng Nam Bộ, Việt Nam dựa trên 4 nhân tố, đó là: tài nguyên du lịch nông nghiệp địa phương, xu hướng phát triển du lịch nông nghiệp và thị trường du lịch nông nghiệp, sự sẵn sàng của cộng đồng địa phương và sự quan tâm của chính quyền địa phương. Nhìn chung, tiềm năng phát triển du lịch nông nghiệp ở vùng Nam Bộ là rõ ràng và đáng kỳ vọng, dựa trên nền tảng tài nguyên và yếu tố con người. Tuy nhiên, để biến tiềm năng này thành hiện thực và đưa du lịch nông nghiệp trở thành một ngành kinh tế mũi nhọn, cần có sự tập trung chiến lược vào việc xây dựng liên kết ngành mạnh mẽ, nâng cấp cơ sở vật chất, hạ tầng kỹ thuật và nhận được sự hỗ trợ toàn diện từ chính quyền địa phương. Nếu những yếu tố này được cải thiện, du lịch nông nghiệp Nam Bộ hoàn toàn có khả năng bứt phá và mang lại những giá trị kinh tế – xã hội và văn hóa to lớn cho vùng.
Tài liệu tham khảo:
1. Aref, (2010). Residents attitudes towards tourism impact: a case study of Shiraz, Ỉan. Tourism Analysis, 15 (2), pp.253-61
2. Bengi Ertuna, Gülşen Kırbaş (2012). Local community involvement in rural tourism development: The case of Kastamonu, Turkey. Pasos, Vol. 10 Nº 2. Special Issue. Pp. 17 -24.
3. Bùi Thị Lan Hương (2017). Đánh giá tiềm năng phát triển du lịch nông thôn vùng kinh tế trọng điểm phía Nam. Luận án Tiến sĩ Đại học Quốc gia TP. Hồ Chí Minh.
4. Crouch, G. I. and Ritchie, J. R., (1999). Tourism, competitiveness, and societal prosperity. Journal of business research. 44(3): 137-152.
5. Crouch, G. I. (2010). Destination Competitiveness: An Analysis of Determinant Attributes. Journal of Travel Research. 20(10): 1 – 19.
6. Julianna Priskin (2000). Assessment of natural resources for nature-based tourism: the case of the Central Coast Region of Western Australia, PhD thesis. The University of Western Australia. Western Australia, Australia.
7. McGehee, N.G.and Andereck, K.L. (2004). Factors Predicting Rural Residents’ Support of Tourism. Journal of Travel Research 43: 131-140.
8. Ngô Nguyễn Hiệp Phước (2018). Lợi thế, tiềm năng phát triển du lịch của Cần Thơ. Tạp chí Kinh tế đối ngoại, số 102.
9. Ngô Thị Phương Lan, Nguyễn Thị Vân Hạnh (2021). “Thực trạng liên kết vùng trong phát triển du lịch nông nghiệp tại Đồng bằng bằng sông Cửu Long”. Kỷ yếu Hội thảo Phát triển du lịch nông nghiệp ở đồng bằng sông Cửu Long trong bối cảnh mới. NXB. Đại học Quốc gia TP. Hồ Chí Minh.
10. Phạm Xuân Hậu (2017). Xác lập hệ thống chỉ báo, tiêu chí, tiêu chuẩn đánh giá tiềm năng du lịch nông thôn (Áp dụng cho nông thôn Việt Nam). Tạp chí khoa học Trường Đại học Sư phạm TP. Hồ Chí Minh, tập 14, số 2 (2017), tr. 114 – 127.
11. Roman, M.; Roman, M.; Prus, P. (2020). Innovations in Agritourism: Evidence from a Region in Poland. Sustainability, 12, 4858.
12. Saaty, T.L (2008). Decision making with the Analytic Hierarchy Process. Int. J. Services, Sciences, 1(1), pp. 83 – 98.
13. Sevgi Tüzün Rad (2011). An application of a women-oriented agro-tourism rural development model in improving local economy. African Journal of Business Management Vol. 5(22), pp. 9714 – 9723.
14. Vengesayi (2003). A conceptual model of tourism destination competitiveness and attractiveness. https://www.researchgate.net/publication/242414026_A_conceptual_model_of_tourism_destination_competitiveness_and_attractiveness
15. Wilson, S., Fesenmaier, D. R., Fesenmaier, J., & Van Es, J. C. (2001). Factors for success in rural tourism development. Journal of Travel research, 40(2), pp. 132 – 138.



